Category: Biological Molecules
You will get to grips with the very basic molecules of life. Each quiz takes you through the structure of each monomer, the structural differences between them, and how they join together to become biological polymers.
We start with Carbohydrate Structure, looking first at the Monosaccharides;Alpha and Beta Glucose, and how through condensation reactions, they can be joined together by glycosidic bonds to make disaccharides. From here we test your knowledge of the structural differences, and resulting differences in the properties of the polysaccharides : Amylose, Amylo-pectin, Cellulose and Glycogen.
Lipid structure, and the structural differences between saturated and unsaturated fatty acids is tested here along with Ester linkages ( or bonds).
Protein structure again starts with the monomers; Amino Acids. The quiz tests your knowledge of the carboxyl group and the amino group, and the differing R groups. It tests your ability to identify a peptide bond, and how the order of amino acids dictates the ensuing secondary, tertiary and quaternary structures of proteins.There are two quizzes on Enzymes, and what factors affect enzyme function In these quizzes you will apply your knowledge of protein structure and be able to interpret graphs.
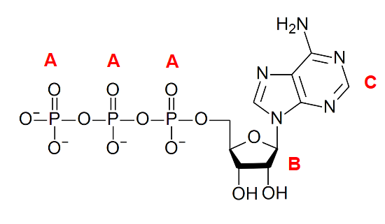
The structure of DNA ( and its single stranded relative RNA) is also tested in this unit; looking at Nucleotide structure, and phosphodiester bonds. In this unit there is also a quiz looking at the fine detail of DNA replication; understanding the role of each enzyme, where it attaches, and which direction it moves in. You are also tested on the evidence of Semi Conservative Replication.
Lastly there is a quiz testing your understanding of the role of inorganic ions such as sodium and phosphate. Building up to the structure and role of ATP. The importance of water is the last little section in this quiz , finishing off knowledge which will support every aspect of your A Level understanding from now on.
