M4S7 – Year 1 Organic Nomenclature

95

Year 1 Organic Nomenclature

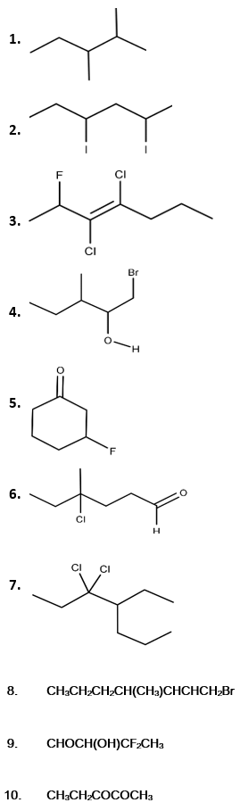
1 / 10

Choose one of the following options:

2 / 10


Choose one of the following options:

3 / 10


Choose one of the following options:

4 / 10


Choose one of the following options:

5 / 10


Choose one of the following options:

6 / 10


Choose one of the following options:

7 / 10


Choose one of the following options:

8 / 10


Choose one of the following options:

9 / 10


Choose one of the following options:

10 / 10


Choose one of the following options:

Thank you for taking the quiz. Please fill in the fields below and you will receive your results in an email.

If you have been set this as homework, you should forward this email to your teacher as evidence you have completed the quiz.

If you don't receive your email please check your spam or junk folder.

Your score is

0%