M6S4 – Amines & Amides

12

Amines & Amides

1 / 10

In the synthesis of ethylamine from bromoethane, the reaction is performed at a high pressure with a large excess of ammonia. The principal reason(s) for this include :

(i) increasing the rate of the reaction

(ii) to minimise the chance of diethylamine and triethylamine being produced

(iii) to push the equilibrium to the right, away from the ammonium salt towards the free amine.

(iv) to reduce the activation energy for the process

2 / 10

Examples of polymers that contain the amide bond include:

(i) sugars

(ii) DNA

(iii) TeryleneTM(PET)

(iv) proteins

 

3 / 10

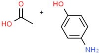
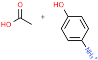
If the paracetamol molecule shown below is hydrolysed in hot dilute hydrochloric acid, what are the main organic products?

4 / 10

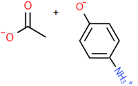
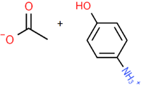
If the molecule shown below is hydrolysed in hot sodium hydroxide, what are the main organic products?

5 / 10

Which is the most typical reaction of an amine in organic synthesis?

6 / 10

Which of the following molecules would you predict to be the least nucleophilic?

7 / 10

Which of the following molecules would you predict to be the most basic?

8 / 10

Which of the following molecules would you predict to be the most soluble in water?

9 / 10

Which of the following molecules is/are examples of 2o amines?

(i) 

(ii)

(iii) 

(iv) 

10 / 10

What is the systematic name of the following molecule?

CH3CH2CH2C(NH2)CHCH3

Thank you for taking the quiz. Please fill in the fields below and you will receive your results in an email.

If you have been set this as homework, you should forward this email to your teacher as evidence you have completed the quiz.

If you don't receive your email please check your spam or junk folder.

Your score is

0%